极速快3

您好!欢迎光临极速快3品牌官网!

深圳市极速快3有限公司

ShenZhen XuanXinWei Technoligy Co.,Ltd
二极管、三极管、MOS管、桥堆

全国服务热线:18923864027

  • 热门关键词:
  • 桥堆
  • 场效应管
  • 三极管
  • 二极管
  • 电容与电感是怎样改变电流相位的
    • 发布时间:2020-07-30 18:08:49
    • 来源:
    • 阅读次数:
    电容与电感是怎样改变电流相位的
    单单说说交变电流中的纯电感电路,单单进行定性分析。
    首先说交变电流的纯电阻电路
    下图是一个纯电感电路的图示
    电容,电感
    可以看到右图是端电压与电感中电流的相位图,可以看出是有相位差的。题主的问题就是为什么会有相位差。
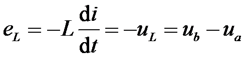
    由高中学过的楞次定律可以知道,如果电流的改变导致磁场的改变,那么导线中会产生相应的电流阻碍这种改变。而交变电流中的电感元件实际上就是缠绕了很多圈的导线,比如密绕螺线管。实际上,导线中除了原有电动势产生电场以外,额外产生了一个变化磁场产生的场。
    电感中的场:1)电源产生的似稳无旋电场Es;
    2)变化磁场(电流)产生的变化电场Ek 。
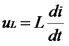
    欧姆定律的微分形式
    电容,电感
    导线中电流密度j有限 导线无电阻,即电导率无穷大(没学过高数的同学可以理解为无穷大乘以无穷小可以为一个定值)
    电容,电感
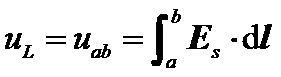
    无旋电场产生的电压
    电容,电感
    电容,电感
    电容,电感
    即有用的是
    电容,电感
    假设此时电路的电流为
    电容,电感
    则如果为纯电阻电路,电压则应该为
    电容,电感
    实际上是
    电容,电感
    可见电感的电压电流同频率,相位不同,电压超前电流/2,或者说是改变了电压/2的相位
    电容,电感
    以上相加均属于简谐量相加
    纯电容电路可以类似证明,结果为
    假设电压
    电容,电感
    电流为
    电容,电感
    即电流超前π/2
    电容,电感
    倘若要调整电压或者电流的相位,则添加一定阻抗的电感或电容即可,例如下面一个例子。
    首先有个电压方程
    电容,电感
    由上面得到的电感电容的UI矢量图,可以合并有最终可以合并得到Um,可以看出与Im有一定的相位差
    电容,电感
    证明完毕
    烜芯微专业制造二极管,三极管,MOS管,桥堆等20年,工厂直销省20%,4000家电路电器生产企业选用,专业的工程师帮您稳定好每一批产品,如果您有遇到什么需要帮助解决的,可以点击右边的工程师,或者点击销售经理给您精准的报价以及产品介绍
    相关阅读
    79991cm德彩网 美彩国际7709 佰富彩采购大厅-欢迎您 名贯彩票-大发精准计划 88爱彩 - 欢迎您 美彩国际 - 欢迎您 德彩网 - 欢迎您 79991cm德彩网