MOSFET 功率开关是开关模式电源转换器里最重要的元件,如果它被集成进 IC 里,这种器件便可以被称作转换器;如果它被外置,能够驱动它的器件便可以被称作控制器,这样的定义并无什么标准可言,但我自己基本上就是这样理解的。无论 MOSFET 功率开关处于集成状态或外置状态,它们的根本性质并不会发生变化,所以并不需要对它们进行区别对待,而驱动它们的原理当然也是完全一样的。
要想驱动 MOSFET,首先需要对 MOSFET 的元件特性有个基本的了解。













通过这些内容的学习可以知道控制 MOSFET 的栅-源电压 VGS 便可以控制其工作状态,所以认为 MOSFET 是电压控制型器件是很合理的,但这种理解又太过于简单,很容易让我们认为控制 MOSFET 是一件很简单的事,不需要考虑太多的问题,因为在已经有电压源的情况下要形成一个电压是太容易了,最简单的电阻分压电路便可实现,需要计算的只是两只电阻的比例,但要真的做起来就会遇到实际的问题:符合相应比例的电阻值有很多,到底应该如何取值呢?

用三维的视角观察 MOSFET 的物理结构,可以看到它的各个电极都是板状结构,所以它的各个电极之间便存在一定的电容。由于有电容的存在,设计用来驱动 MOSFET 的电路又含有电阻,RC 电路的时间特性便会在驱动 MOSFET 的过程中发生影响,使得实际的电路不可能简单地按照我们的设想发生相应的变化。
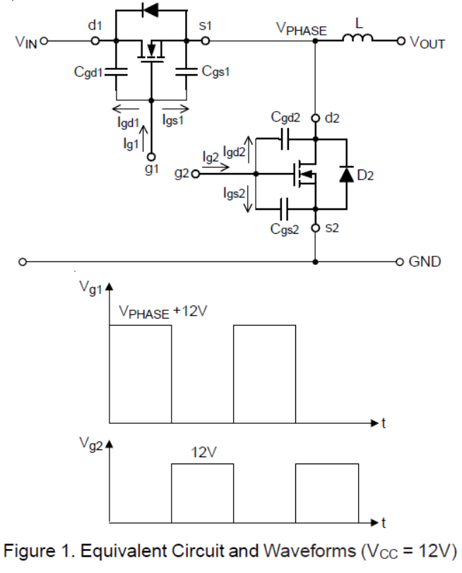
如果进一步观察 MOSFET 上存在的这些电容,还能发现它们会随着 MOSFET 工作状态的不同而发生变化,因为 MOSFET 各电极及其相互之间的空间状态在不同的工作状态下是不一样的,它们之间的电容也就会随着空间状态的不同而发生变化。以栅极与源极之间的电容 CGS(上图中的 C1)为例,当漏极和源极之间的沟道还没有形成时,CGS 是比较小的,而随着沟道的形成,栅极的结构发生了变化,栅极和源极间相互耦合的面积会变得越来越大,相应地就增大了 CGS 的大小,直到沟道完全形成以后才会稳定下来,这便是下图中 CGS 的大小会在 Off 区和 Saturation 区有很大区别的原因。使用同样的方法进行分析,我们便能理解下图中表达各个电容量的曲线是如何形成的了。


我们常见的 MOSFET 等效图会把各个电极之间的电容画出来,但其随着工作状态而发生变化的部分却很难表达,只能依靠我们在思考时再进行动态的模拟才能将其进一步细化。


在以开关模式工作的 DC/DC 转换器中,MOSFET 的工作状态主要就两种,即截止状态和导通状态,间隔在两者之间的可变电阻状态只是在两个极端状态相互转换的过程中才会出现。可变电阻状态下的 MOSFET 因为既有电流流过、又存在电阻而会形成较大的损耗,所以需要尽力缩短跨过可变电阻区的时间,这就可以推导出驱使 MOSFET 实现状态转换的驱动电路的特性来:适当高的输出电压摆幅,其高电平要能让 MOSFET 充分导通,其低电平要能让 MOSFET 充分截止;能输出和吸纳比较大的电流,使 MOSFET 输入电容能得到快速的充电和放电,实现 MOSFET 快速截止和导通的目的。同时我们也需要知道,驱动器的输出电压不能太高,给负载充放电速度也不能太快,因为用太高的输出电压驱动 MOSFET 就需要较多的电荷去充满电容,需要的电流就会比较大,或者是需要更长的时间,放电的过程也相应需要更多的时间或更大的电流,造成的功率消耗也会比较大;让开关以过快的速度进行状态转换又会带来比较严重的 EMI 问题,这样便要求驱动电路的能力不能太强。实际使用的驱动器的能力既要很强,又不能太强,导致最后出来的产品都是根据实际的需要折中处理后的结果。


RT9624C 是与 Buck 控制器配合使用的 MOSFET 驱动器,来自前级控制器的 PWM 信号经其转换后便成为驱动上、下桥 MOSFET 的同步信号,轻轻松松地便实现了从小信号到大信号的转换,用它实现大电流输出是一件很容易的事情。RT9624C 常被使用于个人计算机的主板和显卡等场合,与其配合工作的主电源通常可以提供 12V、5V 和 3.3V 等输出,被其驱动的 MOSFET 大多具有非常低的 RDS(ON) 和大约 20V~40V 的电压承受能力,其工作电压范围被定义为 4.5V~13.2V(VCC 电压),转换器的输入电压范围则是 5V~24V(VIN),可满足电池供电的笔记本电脑及其他大电流应用的需要。
RT9624C 驱动外接 MOSFET 的电压是随着工作电压的不同而不同的,如使用 12V 供电则输出高电压便是 12V,如使用 5V 供电则输出高电压便是 5V。很显然,驱动电压越高则相应的切换损耗便越大,同时其外接 MOSFET 的导通损耗也越小,反之亦然。所以,不同的应用可根据自己的具体状况选择不同的工作电压。
RT9624C 规格书的应用说明部分给出了驱动电路工作过程的参数计算方法,下面我把它翻译出来供读者参考:
MOSFET 功率开关的直流输入阻抗非常高,当 Vgs1 或 Vgs2 为 12V 或 5V 时,其栅极吸取的电流仅有 nA 级别,因此,已经被驱动到处于“开”的状态的 MOSFET 的栅极电流可以被完全忽略。然而,栅极与源极之间的电容是必须被考虑到的,它在将栅极电压快速提升到 12V 或 5V 的过程中会吸取很大的电流,这是以需要的速度实现漏极电流的接通时必须要做的事情。下面对栅极驱动电流进行计算。


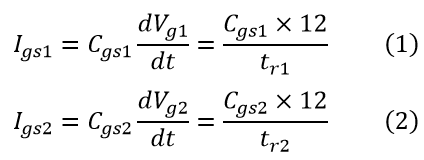
在图1中,Ig1 和 Ig2 是将栅极电压从 0V 提升到 12V 需要的电流,其中包含了充入 Cgd1、Cgd2、Cgs1 和 Cgs2 的电流。Cgs1 和 Cgs2 分别是上下桥 MOSFET 的栅极和源极间的电容,一般的规格书将 Cgs1 和 Cgs2 称为 Ciss 即输入电容;Cgd1 和 Cgd2 分别是上下桥 MOSFET 的栅极和漏极之间的电容,一般的规格书将其称为 Crss 即反向传输电容。假如 tr1 和 tr2 分别是上下桥 MOSFET 的上升时间,实现此上升过程需要的电流 Igs1 和 Igs2 可分别计算如下:


在将上桥 MOSFET 的栅极电压驱动到 12V 以前,下桥 MOSFET 必须处于关断状态,而上桥也必须在下桥导通以前先行关断。在图 1 中,体二极管 D2 会在上桥 MOSFET 导通以前处于导通状态。


在开通下桥 MOSFET 以前,Cgd2 已经被充电到其电压等于 VIN,所以开通它的过程需要对 Cgd2 进行反向充电至其电压等于 12V,相应需要的电流为:


如果用一个实际的案例来进行这些电流的计算应该是很有意义的,下面就假设有一个实际的同步整流 Buck 转换器,其输入电压 VIN=12V,Vgs1=12V,Vgs2=12V;上桥 MOSFET 的型号为 PHB83N03LT,其 Ciss=1660pF,Crss=380pF,上升时间 tr=14ns;下桥 MOSFET 的型号为 PHB95N03LT,其 Ciss=2200pF,Crss=500pF,tr=30ns。利用公式(1)和(2)可得:


利用公式(3)和(4)可得:


这样便可以分别计算出将上下桥开关从截止状态驱动至导通状态的栅极电流需求:


使用类似的方法,我们可以计算出将上下桥开关从导通状态切换至截止状态时需要从栅极吸出的电流的大小。
有了这样通过理论分析得到的计算公式和通过实际案例得到的计算数据,我们便能比较容易地理解 MOSFET 驱动器的器件指标,下面便是 RT9624C 的规格书里列出来的输出级参数


其中列出的是每个输出端分别在电流吐、纳状态下的阻抗数据,我们可以把它们分别看成是串联在电源端、地端和输出端之间的可控电阻,而其实际的构成则应该是可控的 MOSFET 器件,我们只能通过某种测量方式来对其参数进行衡量,而进行这种测量的参数已经在表格中最宽的那一栏里列了出来。
如果你看到的能够驱动外接 MOSFET 的器件足够多,你可能能看到更多的驱动器参数表达方式,像下表所示的便是另一款器件里的表达方式:


不同的表达方式便有不同的参数,它们虽然显得很不一样,但总是离不开那些最基本的原理的限制,只要有心便可以对它们有一个基本的理解,从而满足自己的好奇心的需求。
烜芯微专业制造二极管,三极管,MOS管,桥堆等20年,工厂直销省20%,4000家电路电器生产企业选用,专业的工程师帮您稳定好每一批产品,如果您有遇到什么需要帮助解决的,可以点击右边的工程师,或者点击销售经理给您精准的报价以及产品介绍
烜芯微专业制造二极管,三极管,MOS管,桥堆等20年,工厂直销省20%,4000家电路电器生产企业选用,专业的工程师帮您稳定好每一批产品,如果您有遇到什么需要帮助解决的,可以点击右边的工程师,或者点击销售经理给您精准的报价以及产品介绍

