极速快3

您好!欢迎光临极速快3品牌官网!

深圳市极速快3有限公司

ShenZhen XuanXinWei Technoligy Co.,Ltd
二极管、三极管、MOS管、桥堆

全国服务热线:18923864027

  • 热门关键词:
  • 桥堆
  • 场效应管
  • 三极管
  • 二极管
  • 常用的开关电源电路设计公式介绍
    • 发布时间:2022-06-18 19:48:17
    • 来源:
    • 阅读次数:
    常用的开关电源电路设计公式介绍
    开关电源电路设计公式
    MOSFET开关管工作的ZD占空比Dmax:
    开关电源电路 公式
    式中:Vor为副边折射到原边的反射电压,当输入为AC 220V时反射电压为135V;VminDC为整流后的ZD直流电压; VDS为MOSFET功率管导通时D与S极间电压,一般取10V。
    变压器原边绕组电流峰值IPK为:
    开关电源电路 公式
    式中:η为变压器的转换效率;Po为输出额定功率,单位为W。
    变压器原边电感量LP:
    开关电源电路 公式
    式中:Ts为开关管的周期(s);LP单位为H。
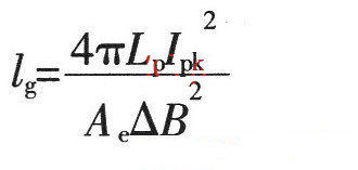
    变压器的气隙lg:
    开关电源电路 公式
    式中:Ae为磁芯的有效截面积(cm2);△B为磁芯工作磁感应强度变化值(T);Lp单位取H,IPK单位取A,lg单位为mm。
    变压器磁芯
    反激式变换器功率通常较小,一般选用铁氧体磁芯作为变压器磁芯,其功率容量AP为:
    开关电源电路 公式
    式中:AQ为磁芯窗口面积,单位为cm2;Ae为磁芯的有效截面积,单位为cm2;Po是变压器的标称输出功率,单位为W;
    fs为开关管的开关频率;Bm为磁芯ZD磁感应强度,单位为T;δ为线圈导线的电流密度,通常取200~300A/cm2,η是变压器的转换效率;
    Km为窗口填充系数,一般为0.2~0.4;KC为磁芯的填充系数,对于铁氧体为1.0。
    根据求得的AP值选择余量稍大的磁芯,一般尽量选择窗口长宽之比较大的磁芯,这样磁芯的窗口有效使用系数较高,同时可以减少漏感。
    变压器原边匝数NP:
    开关电源电路 公式
    式中:△B为磁芯工作磁感应强度变化值(T),Ae单位为cm2,Ts单位为s。
    变压器副边匝数Ns:
    开关电源电路 公式
    中:VD为变压器二次侧整流二极管导通的正向压降。
    功率开关管的选择
    开关管的ZX电压应力UDS
    一般选择DS间击穿电压应比式计算值稍大的MOSFET功率管。
    绕组电阻值R:
    MUT为平均每匝导线长度(cm); N为导线匝数;为20℃时导线每cm的电阻值(μΩ)。
    原、副边绕组电阻值可通过求绕组电阻值R的公式求出,当求原边绕组铜耗时,电流用原边峰值电流IPK来计算;求副边绕组铜耗时,电流用输出电流Io来计算。
    磁芯损耗
    磁芯损耗取决于工作频率、工作磁感应强度、电路工作状态和所选用的磁芯材料的性能。对于双极性开关变压器,磁芯损耗PC:
    Pb为在工作频率、工作磁感应强度下单位质量的磁芯损耗(W/kg);Gc为磁芯质量(Kg)。
    对于单极性开关变压器,由于磁芯工作于磁滞回线的半区,所以磁芯损耗约为双极性开关变压器的一半。变压器总损耗为总铜耗与磁芯损耗之和。
    〈烜芯微/XXW〉专业制造二极管,三极管,MOS管,桥堆等,20年,工厂直销省20%,上万家电路电器生产企业选用,专业的工程师帮您稳定好每一批产品,如果您有遇到什么需要帮助解决的,可以直接联系下方的联系号码或加QQ/微信,由我们的销售经理给您精准的报价以及产品介绍
     
    电话:18923864027(同微信)
    QQ:709211280

    相关阅读
    79991cm德彩网 美彩国际7709 佰富彩采购大厅-欢迎您 名贯彩票-大发精准计划 88爱彩 - 欢迎您 美彩国际 - 欢迎您 德彩网 - 欢迎您 79991cm德彩网