MOSFET的dv/dt是指开关瞬态过程中漏极-源极电压的变化率。
如果dv/dt太大,可能发生振铃,进而可能导致MOSFET损坏。
①静态dV/dt:会引起MOSFET栅极电压变化,导致错误开通。在栅源间并联电阻,可防止误开通。
②动态dV/dt:回路中电感在MOSFET关断时,引起动态dV/dt;工作频率越高,负载等效电感越大,器件同时承受大的漏极电流和高漏极电压,将导致器件损坏。加吸收回路,减小引线长度,采用谐振型电路,可抑制dV/dt。
③二极管恢复期dV/dt:在MOSFET使用中,二极管发生续流过程时,漏极电压快速上升,内部二极管反向恢复过程中导致损坏。主要原因是寄生二极管表现为少子器件,有反向恢复时间,反向恢复期间存储电荷快速消失,会增大电流密度和电场强度,引起局部击穿(如二次击穿),导致器件损坏。
由高dV/dt导致的器件误导通的机理包括两种:
(1)通过CGD反馈回输入端.如I1电流,RG是总栅极电阻,VGS表示为:

当VGS超过器件的阈值电压Vth,器件进入导通状态,在该机制下,dV/dt由以下关系式限定:

低Vth器件更加容易导致 dV/dt误导通。在高温环境中必须考虑到Vth的负温度系数。并且对于栅阻抗需要认真考虑,来避免误导通。
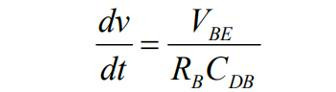
对于由高dv/dt误导通的第二种机制为 MOSFET的开通是由于寄生BJT的导通. 体二极管电容CDB,如电流I2。
该机制下dV/dt由以下关系式决定:

在较高的dV/dt和较大的基区电阻RB情况下,MOSFET的击穿电压由 BJT决定。通过提高体区掺杂浓度并减小位移电流 I2来提高dV/dt的能力。随着环境温度升高,BJT的RB增大,VBE降低,影响器件dV/dt的能力。
〈烜芯微/XXW〉专业制造二极管,三极管,MOS管,桥堆等,20年,工厂直销省20%,上万家电路电器生产企业选用,专业的工程师帮您稳定好每一批产品,如果您有遇到什么需要帮助解决的,可以直接联系下方的联系号码或加QQ/微信,由我们的销售经理给您精准的报价以及产品介绍
联系号码:18923864027(同微信)
QQ:709211280

