结温(Junction Temperature)
结温是处于电子设备中实际半导体芯片(晶圆、裸片)的最高温度。它通常高于外壳温度和器件表面温度。结温可以衡量从半导体晶圆到封装器件外壳间的散热所需时间以及热阻。
最高结温(Maximum junction temperature),器件结温越低越好。
最高结温会在器件的datasheet数据表中给出,可以用来计算在给定功耗下器件外壳至环境的热阻。这可以用来选定合适的散热装置。
如果器件结温超过最高工作温度,器件中的晶体管就可能会被破坏,器件也随即失效,所以应采取各种途径降低结温或是让结温产生的热量尽快散发至环境中。
首先必须保证芯片的结温在其可以承受的范围之内。工业级产品一般规定范围是-20~85℃,军品或者汽车级能达到-40~125℃。
结温为:热阻×输入功率+环境温度,因此如果提高接合温度的最大额定值,即使环境温度非常高,也能正常工作。
一个芯片结温的估计值Tj,可以从下面的公式中计算出来:
Tj=Ta+( R θJA × PD )
Ta = 封装的环境温度 ( o C )
R θJA = P-N结至环境的热阻 ( o C / W ) (数据手册一般会提供)
PD = 封装的功耗即功率 (W) 芯片功耗 = Pin-Pout
关于PD,例如如果输入电流为12V,采用78M05进行稳压,稳压到5V,最大输出电流为0.3A ,则78M05消耗的(最大)功耗为P=(12V-5V)x 0.3A=2.1W
推荐以Tj 的最高容许温度的80%为基准来进行热量设计。
降低结温的途径:
1、减少器件本身的热阻;
2、良好的二次散热机构;
3、减少器件与二次散热机构安装介面之间的热阻;
4、控制额定输入功率;
5、降低环境温度;
结温理解
通常,芯片的结温(Junction Temperature)(Tj)每上升10℃,器件的寿命就会大约减为一半,故障率也会大约增大2倍。Si 半导体在Tj 超过了175℃时就有可能损坏。
由此,使用时就必须极力降低Tj,以容许温度(通常80~100℃)为目标进行热量设计。但是,对于功率器件那样的高输出 元件,要把Tj 抑制在容许温度以下其实是比较困难的,所以通常以规格书里揭载的最高容许温度的80%为基准来设计Tj。
另外、即使器件的封装相同,根据器件的芯片尺寸、 引线框架的定位尺寸、实装电路板的规格等不同、热阻值也会发生变化,需要特别注意。
定义
半导体封装的热阻是指器件在消耗了1[W]功率时,用芯片和封装、周围环境之间的温度差按以下公式进行计算。

其中


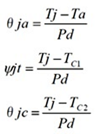
结温(Tj)的验证方法(ψjt 已知)
用以下的方法可以估算结温(Tj)。
先求IC 的功率(P)。
在实际组装时的环境条件下,用放射温度计或热电偶来测量封装表面温度Tc1。
把测得的Tc1 代入下式后,就可以算出了。

如之前讲述的、推荐以Tj 的最高容许温度的80%为基准来进行热量设计。
注)θja,ψjt 是实装到以JEDEC 规格为基准的电路板上时的数值,但是根据引脚类型的尺寸、电路板的材质和尺寸、电路板上的布线比率的不同,多少会有些变化,要特别注意。
〈烜芯微/XXW〉专业制造二极管,三极管,MOS管,桥堆等,20年,工厂直销省20%,上万家电路电器生产企业选用,专业的工程师帮您稳定好每一批产品,如果您有遇到什么需要帮助解决的,可以直接联系下方的联系号码或加QQ/微信,由我们的销售经理给您精准的报价以及产品介绍
联系号码:18923864027(同微信)
QQ:709211280

