本文主要分析运放电路噪声的组成,计算时的注意要点,并提供一个计算的小工具,让噪声计算简单化。
在运放构成的反向放大电路中,噪声主要来源于以下三方面:
(1)运放的输入噪声电压(datasheet有数据曲线)
(2)运放的输入电流噪声(datasheet有数据曲线),需要流过电阻后转换成电压噪声。
(3)设置放大倍数的电阻R1和Rf的热噪声,可通过下面公式计算

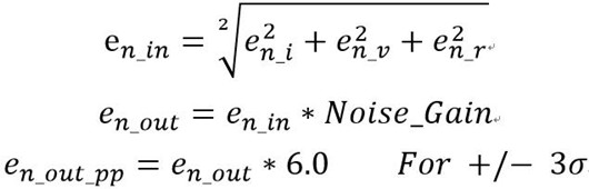
运放噪声的计算就是将这三个值一一求出来,由于这些噪声是不相关的,它们的矢量和就是总噪声,再乘上噪声增益就可以得到输出端的噪声。
计算公式如下(第三个公式输入可能有误):

我们将计算得来的输入总噪声加到理想运放的正输入端,就得到了运放的噪声模型,注意:一定是正输入端哦!因此不管是同相放大电路还是反相放大电路对噪声的增益均为G = 1 + Rf/R1。
如下图:

上面说了噪声增益,还有一个重要的问题:噪声带宽!
datasheet中给的运放噪声参数一般为谱密度值,比如
也就是说需要对其在噪声带宽中进行积分才可以得到噪声的RMS电压值(有效值)。噪声带宽不同于信号的 -3dB带宽。确切的说是Brickwall滤波器的带宽。
简单说就是把实际的滤波器响应曲线,在保证包含面积不变时转化成理想低通滤波器时的带宽。好在我们可以查表得到,N阶滤波器的 –3dB带宽与Brickwall滤波器的带宽换算系数。
如下表:

介绍一种最简单的方法,直接通过运放电路噪声计算器,由Bruce Trump 设计的一个Excel表。这个Excel表格只需要在黄色的单元格输入相应参数,就可以输出结果。
比如:只要输入1/f 噪声在特定频率的值,以及平坦噪声的值,就可以计算出不同频率下的噪声密度。输入频带的起止频率,就可以分析出这些频带内各个噪声的供需率。
或者计算同相放大电路的噪声密度时,只需要输入信号源电阻,运放电压噪声,运放电流噪声,电阻值和温度,就可以计算出输出电路的噪声密度,计算结果同样给出贡需率,方便我们进行噪声优化设计。
以上提到的运放固有噪声根据频段的不同分为低频的闪烁噪声1/f ,以及后面的宽带噪声。
闪烁噪声:频谱密度图并不平坦,通常说了功率谱以1/f 的速率下降。
宽带噪声:频谱密度图较平坦的噪声。
注意这个和呼啸自激不同。
呼啸自激是因为输出信号经过反馈回路后与输入信号叠加,产生了正反馈的一种现象。是因为使用过程中,没有处理好反馈信号与输入信号的相位关系产生的。属于在布线以及应用时考虑的问题。
而本文的噪声是器件固有的,由器件本身特性产生。所以选型的时候就要考虑。
通过在运放的输出端接一个滤波器选择噪声的带宽,即限带,一般信号调理电路前端都会这样,带宽够用就好。
TI运放技术手册有一个Current and Voltage Noise参数表,这是噪声密度在频谱上的分布情况,最终输出噪声水平与噪声增益和带宽成正向关系。电流噪声最终也转换成电压噪声,最终通过平方和开根号算出总噪声。
〈烜芯微/XXW〉专业制造二极管,三极管,MOS管,桥堆等,20年,工厂直销省20%,上万家电路电器生产企业选用,专业的工程师帮您稳定好每一批产品,如果您有遇到什么需要帮助解决的,可以直接联系下方的联系号码或加QQ/微信,由我们的销售经理给您精准的报价以及产品介绍
联系号码:18923864027(同微信)
QQ:709211280

