关于MOSFET的开关时间
栅极电压ON/OFF之后,MOSFET才ON/OFF。这个延迟时间为开关时间。开关时间如表1所示种类,一般而言,规格书上记载td(on)/ tr/ td(off)/ tf。
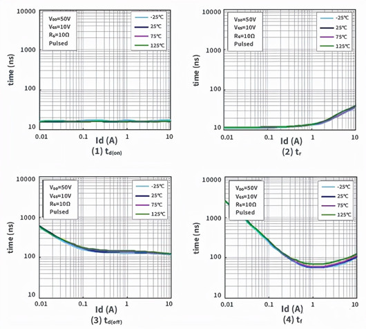
ROHM根据图2电路的测定值决定规格书的typ.值。

温度特性
实测例如图3(1)~(4)所示。
温度上升的同时开关时间略微增加,但是100°C上升时增加10%成左右,几乎没有开关特性的温度依存性。
图3: 开关温度特性

关于MOSFET的VGS(th)(界限値)
关于MOSFET的VGS(th)
MOSFET开启时,GS (栅极、源极) 间需要的电压称为VGS(th)(界限值)。
即输入界限值以上的电压时MOSFET为开启状态。
那么MOSFET在开启状态时能通过多少A电流?针对每个元件,在规格书的电气特性栏里分别有记载。
表1为规格书的电气特性栏示例。该情况下,输入VDS=10V时,使1mA电流通过ID所需的栅极界限值电压ID(th)为1.0V to 2.5V。
表1: 规格书的电气特性栏

ID-VGS特性和温度特性
ID-VGS特性和界限值温度特性的实测例如图1、2所示。
如图1,为了通过绝大部分电流,需要比较大的栅极电压。
表1所记载的机型,其规格书上的界限值为2.5V以下,但是为4V驱动产品。
使用时请输入使其充分开启的栅极电压。
如图2,界限值随温度而下降。
通过观察界限值电压变化,能够计算元件的通道温度。

图1: ID-VGS特性图2: 界限值温度特性
〈烜芯微/XXW〉专业制造二极管,三极管,MOS管,桥堆等,20年,工厂直销省20%,上万家电路电器生产企业选用,专业的工程师帮您稳定好每一批产品,如果您有遇到什么需要帮助解决的,可以直接联系下方的联系号码或加QQ/微信,由我们的销售经理给您精准的报价以及产品介绍
联系号码:18923864027(同微信)
QQ:709211280

