1. 场效应管的微变等效电路
场效应管是电压控制型器件,其漏极电流i的大小是通过栅源电压u进行控制的,其漏极输出回路可等效为受控于输入电压 ugs 的恒流源 gm * ugs。
由于在低频段输入电阻 rgs 和漏源电阻 rds 为高阻,可视为开路,故图2.6.3(b)所示的电路可用图2.6.3(c)所示的简化等效电路来表示。

2. 场效应管共源极放大电路分析

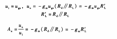
1. 电压放大倍数Au

“-”号表示共源放大电路的输出与输入反相。
2. 输入电阻Ri
电路的输入电阻Ri为:

3. 输出电阻Ro

经典例题:

3. 场效应管共漏极放大电路分析

1. 静态分析
画出直流通路;联立变量求解就行

2. 动态分析

〈烜芯微/XXW〉专业制造二极管,三极管,MOS管,桥堆等,20年,工厂直销省20%,上万家电路电器生产企业选用,专业的工程师帮您稳定好每一批产品,如果您有遇到什么需要帮助解决的,可以直接联系下方的联系号码或加QQ/微信,由我们的销售经理给您精准的报价以及产品介绍
联系号码:18923864027(同微信)
QQ:709211280

