极速快3

您好!欢迎光临极速快3品牌官网!

深圳市极速快3有限公司

ShenZhen XuanXinWei Technoligy Co.,Ltd
二极管、三极管、MOS管、桥堆

全国服务热线:18923864027

  • 热门关键词:
  • 桥堆
  • 场效应管
  • 三极管
  • 二极管
  • 场效应管的偏置电路与静态解析
    • 发布时间:2022-08-18 15:30:03
    • 来源:
    • 阅读次数:
    场效应管的偏置电路与静态解析
    为了保证在有输入信号时,场效应管始终工作在放大区(恒流区),同晶体管一样,场效应管放大电路也要建立合适的静态工作点。所不同的是,场效应管是电压控制器件,因此它需要有合适的栅源电压。根据不同类型的场效应管对栅源电压 UGS 的要求,通常偏置形式有两种:
    一种是只适合结型和耗尽型场效应管的自偏压电路
    一种是用于各种类型场效应管的分压式偏置电路
    1. 自给偏压式电路
    场效应管 偏置电路 静态
    自给偏压方式适合于结型场效应管和耗尽型场效应管
    由耗尽型MOS管的特性可知,即使UGS = 0,在相应的电压 UDS 作用下也有漏极电流 ID。
    在图所示电路中,当ID流过源极电阻R时会产生压降 USQ = IDQ * R,由于栅极电流为零,从而使R电流为零,所以栅极电位VGQ = 0,因此栅-源静态电压为
    场效应管 偏置电路 静态
    静态工作点分析:
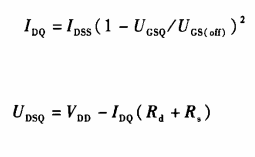
    由以下公式能算出 IDQ 和 UDSQ
    场效应管 偏置电路 静态
    2. 分压式自偏压电路
    上图所示的电路简单,也有一定的稳定工作点的作用。但Ra的取值不能取得很大,否则将使负偏压过高,放大倍数下降,并产生严重的非线性失真。
    所示的电路为N沟道增强型MOS管共源放大电路,所示电路的改进电路,在它的栅极上加接了一个正电位,即通过电阻Rg1、Rg2分压后经Rg3加至栅极 go由于栅极加了一个正电位,则可将接在源极s的Rs的阻值适当加大,使静态工作点Q不至于过低,且稳定度大大提高。
    场效应管 偏置电路 静态
    栅极、源极电位分别为:
    场效应管 偏置电路 静态
    因此栅-源电压:
    场效应管 偏置电路 静态
    再根据 IDQ 与 UGSQ 之间的关系:
    场效应管 偏置电路 静态
    其他变量就能算出来。
    〈烜芯微/XXW〉专业制造二极管,三极管,MOS管,桥堆等,20年,工厂直销省20%,上万家电路电器生产企业选用,专业的工程师帮您稳定好每一批产品,如果您有遇到什么需要帮助解决的,可以直接联系下方的联系号码或加QQ/微信,由我们的销售经理给您精准的报价以及产品介绍
     
    联系号码:18923864027(同微信)
    QQ:709211280

    相关阅读
    79991cm德彩网 美彩国际7709 佰富彩采购大厅-欢迎您 名贯彩票-大发精准计划 88爱彩 - 欢迎您 美彩国际 - 欢迎您 德彩网 - 欢迎您 79991cm德彩网